On Tuesday 29th May, the second ever #cogscisci ‘Meeting of Minds’ event took place. It was a thought-provoking day full of discussions about the applications of cognitive science to science learning! My talk was about how procedural knowledge should be practiced differently to declarative knowledge, using the teaching of Maths in Science as an example. This post shares my talk, edited to reflect some questions and further discussions held after the talk.
As my knowledge of cognitive science grows, I’m increasingly being convinced of three things:
- Not all knowledge is the same – there are different kinds of knowledge, which we can think and learn about in different ways. For example, thinking about how many molecules of a substance there are is different to calculating the number of moles of a substance. In other words, doing the calculation is different to thinking about what the calculation represents.
- Pupils need lots of practice to master new knowledge.
- The type of practice pupils engage in should depend on the type of knowledge they are trying to master.
Based on these ideas, I am going to share some of the ways I teach calculations, and explain the rationale for my decision-making.
Splitting the Knowledge: Procedural vs Declarative
One way of categorising knowledge is to make the distinction between procedural and declarative knowledge.
- Declarative: knowing that – facts.
- Procedural: knowing how – the steps that can be performed
When pupils are solving equations, they are doing two things simultaneously. If we disentangle them, we can make our explanations and make the practice we give our pupils more explicit and therefore clearer. First, pupils are thinking about the science behind the equation. For W=mg, pupils are thinking about the gravitational field strength of a planet and how the mass of an object influences its weight. This is the ‘what’ – the declarative. Second, pupils are thinking about the formula, the substituting, converting etc. This is the ‘how’ – the procedural.
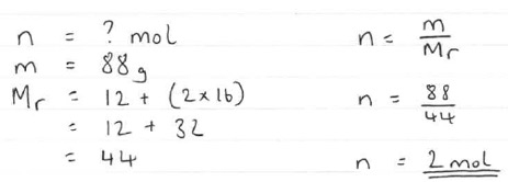
An example from chemistry would be mole calculations. The declarative knowledge helps pupils understand what a mole is – e.g. that it represents 6.02 x 1023 molecules of a substance. The procedural knowledge is the steps that need to be performed in order to calculate the number of moles.
Having established that maths in science is an example of a body of knowledge that can be divided into declarative and procedural, we can begin to think about how me might teach the two types of knowledge differently. Making the distinction between procedural and declarative knowledge can inform our decision making about the explanation, feedback and practice we give our pupils.
Teaching the Knowledge: calculations in maths
The fascinating thing about the declarative and procedural knowledge split is that the two can be taught separately! Indeed, pupils can perform the calculation flawlessly without any understanding of what the calculation represents. True – they need some declarative knowledge to perform the calculation – but not necessarily understanding. Of course, it is our duty as teachers to ensure pupils can do both. But this insight permits us to move on to teaching the calculation even if declarative knowledge has not been mastered – that can be saved for later. It may even be beneficial to do so, as I will touch on at the end.
My five principles/steps for teaching calculations (though this applies to any topic) would be as follows:
- Teach the necessary declarative knowledge first;
- Break down the procedural knowledge into its constituent steps;
- Use worked examples: model the procedure for pupils – both live, and with hand-written examples;
- Give pupils scaffolded practice using faded examples and misconception examples;
- Give pupils lots of interleaved, spaced practice.
Principle 1: Teach the declarative knowledge first
A calculation in science is not devoid of context or meaning. Before diving into the calculation, the first question a teacher should ask themselves is: ‘What content is necessary to understand the calculation?’
For mole calculations, I wrote a list of 12 facts which I drafted and re-drafted (changing the sequence and language) to determine an optimal progression of ideas, which help pupils arrive at the idea of what a mole is and how knowing the mass and relative formula mass can help them convert the values (the list is at the end of this post).
Upon seeing the list, my eyes popped a little. It was quite long and quite complicated. But each bullet point of knowledge was important. Seeking guidance from Frederick Reif’s work (2008), I noted that, ‘Declarative knowledge is factual knowledge that specifies relevant entities and the relations among them.’ (Ch 3.6).
The key insight? Although a concept can (and should) be broken down into its constituent parts and turned into a list (is this what people think of as knowledge organisers?^), this broken down declarative knowledge is more than a list; it is the relationship between the facts on the list that is equally important. So I decided to draw a map showing how the knowledge links together:

Map showing the web of declarative knowledge needed to understand the calculation n=m/Mr
This map is far less demanding to look at comprehend than a list of 12 bullet pointed facts. (The only idea missing here, is the idea that the Mr of any substance is the mass of one mole in grams. But I think that idea can sit above this map, perhaps added later once the other ideas are understood).
The better pupils grasp the main idea, the better they will *understand* the equation. How pupils can grasp and practice this declarative knowledge, will be the subject of another post. The important thing is, pupils need some mastery of the declarative knowledge, but in order to actually perform the calculation (without understanding it) they simply need the procedural knowledge….
Principle 2: Break down the procedural knowledge into constituent steps
For nearly all equations I use seven steps – all clearly explained in another post. However, in general – the principle derives from Teach Like a Champion’s (TLAC) technique called ‘Name the Steps’. Separating a complicated procedure (solving an equation) into tiny steps enables:
- A big task to be chunked into a series of less daunting tasks
Solving an equation without guidance is hard. Giving some guidance makes it easier. But have you broken down instruction into the smallest parts possible?
- Deliberate practice of constituent steps, before putting it all together
I get pupils doing lots of practice drills for each step: converting units, and then separately, lots of practice drilling pupils with what each unit for each variable is, and separately, looking at a list of values and writing the formula that unites them… you get the idea. Interestingly, knowing the units, knowing the variables and knowing the equations are all examples of declarative knowledge. Executing procedure is impossible without at least some declarative knowledge.
Not breaking a calculation down into steps is analogous to saying to your friend: ‘Get from King’s Cross Station to my house’. However, useful, broken-down procedural knowledge is analogous to giving your friend a series of precise, sequenced directions.
Principle 3: Worked Examples
It’s obvious that pupils benefit from seeing exactly how a calculation should be tackled. I’ve come to learn that what works particularly well is the following sequence, carried out live under the visualiser:
- Silent worked example.
- Narrated worked example of what you are thinking.
- Worked example with questioning – ask pupils what to do next, or make a mistake and ask what you should have done instead etc.
This works because pupils can see exactly what they are expected to do, including how to lay out their work.

In our department, we put lots of ready-made, hand-written-on-lined-paper worked examples into our worksheets, so that pupils can see exactly what this should look like. By standardising the format (TLAC), it makes it really easy for you as a teacher to circulate and spot where pupils are going wrong.
Principle 4: Scaffolded Practice
Give pupils LOTS of practice. But the type of practice should change to build fluency of the procedural knowledge. Faded examples and misconception examples are helpful for this.
Faded examples are incomplete worked examples. Pupils fill in the final steps. Progressively, faded examples leave more and more for the pupil to complete. This facilitates greater and greater challenge in recall of the procedures, but without the cognitive load of deciding how to lay the working out. I’ve tried this more for non-equation maths like the images below show:



Misconception examples are also great for pupils to compare their answers to. Pupils look at an incorrect worked example, and spot the mistake.
Principle 5: Interleave Practice
Typically, once we teach pupils one formula, we might give them lots of practice using that one formula. However several studies have shown that mixed practice is better than mass practice. The problem with pupils practicing with just one formula is that they miss out on a crucial step that makes calculations difficult: selecting the correct formula.
Once pupils have learned at least two formula, give them mixed questions where they select the right equation. Since one of the steps in the 7 step method is to list the values, this should help them truly ‘select the formula that unites all listed values’.
Finally, space the practice out so that in a week and few weeks time, they practice all of the formula they have learned, perhaps even after some forgetting.
Final Thoughts (the two things I said I would come back to!)
In some regards, it can be really helpful for procedural knowledge to become embedded before all of the declarative knowledge is fully embedded, particularly if pupils are struggling to understand the declarative knowledge So: master some facts, then master the procedure, and finally, finish mastering the facts. I think this for two reasons, with the second being the most important.
- Automating the procedure gives big success – helpful for motivation.
- Mastering the procedural means pupils can do the whole thing. This frees them to look at the whole and think about why it works – they can see the relative significance of each small part in the context of the whole.
Finally, as promised, here is the list of declarative knowledge that the map above shows for mole calculations:
- All substances – matter – are made out of atoms.
- All atoms have mass.
- To describe the amount of a substance – such as water – we can either:
- Count the number of water molecules
- Measure the mass of the substance
- (Measure the volume of a substance)
- Mass and number of molecules are both valid ways of describing amounts, but are useful or appropriate for different reasons.
- Measuring the mass of a substance can be used to calculate the number of molecules of that substance, provided that we know the mass of one molecule.
- The total mass divided the mass of one molecule tells us the number of molecules.
- The known mass of each particle is known as the relative atomic mass (Ar) for single atoms, and relative formula mass (Mr) for molecules (or ratios). The periodic table supplies us with this information.
- Avogadro’s constant is used to define one mole: 6.02 x 10^23 molecules.
- Avogadro’s constant helps us to write numbers of molecules more concisely, since everyday amounts of substances exceed this number of particles.
- So, number of moles is another way of saying number of molecules.
- Therefore: mass (m); number of moles (n); and relative formula mass (Mr) are related to each other: n=m/Mr
- In this way, the two ways of describing amounts of a substance: number of molecules and mass, are interchangeable.
Here are the slides I used, with some more examples and some suggested reading: CogSciSci Declarative Procedural PR
As always, any suggestions, reflections and feedback are welcome! Keep the discussion going in the comments below, or on twitter using the hashtag #cogscisci
^ I know most science knowledge organisers are key words and their definitions. But I’ve always wanted them to be: definitions if appropriate; simple facts – if appropriate; labelled diagrams – if appropriate; question and answer – if appropriate. The form the knowledge organiser takes should depend on the content, not the other way around! My advice? Ditch the ‘templates’ and make something different for each topic, choosing a mix that suits the knowledge being taught. *Goes and takes own advice*…
Pingback: Rethinking my class notes – Fortunate Sums
Pingback: A Pilgrim in Jerusalem: My Visit to Michaela – A Chemical Orthodoxy
Pingback: Developing a bar model for ionic formulae – Teach&Learn
Pingback: Designing a Science Curriculum: my #rEDRugby talk | Bunsen Blue
Thanks for the document. What do you mean by the term “dual coding”?
LikeLiked by 1 person
Have a look at this post for an explanation and examples:
https://bunsenblue.wordpress.com/2017/05/13/dual-coding-in-science/
LikeLike
Pingback: Filling the tool box (1) – Catalysing Learning
Pingback: Curriculum knowledge – a rose by any other name? – (not quite) QED
Pingback: Clear Teacher Explanations 2c: Procedures | Bunsen Blue